Steps for Solving Linear Equation 2x3y5=0 2 x 3 y − 5 = 0 Subtract 3y from both sides Anything subtracted from zero gives its negation Subtract 3 y from both sides Anything subtracted from zero gives its negation 2x5=3y 2 x − 5 = − 3 yA 3 = 9−5×3 = 9−15 = −6 a 4 = 9−5×4 = 9− = −11 We can see here, the common difference between the terms are;Answers to Adding and Subtracting Integers 1) −4 2) 2 3) 3 4) 2 5) 4 6) −5 7) −5 8) −17 9) −13 10) 2 11) −1 12) 0
Www Jcu Edu Au Data Assets Pdf File 0005 Mr 7 Simplifying Equations Pdf
5 3 in cm
5 3 in cm-JO W CHG 1 5/26/16 E of C−2 j 337 FAR FIELD MONITOR (FFM) REMOTE STATUS UNIT The MM, or in the absence of a MM, 1/2 mile final and the IM or CAT II Missed Approach Point (MAP) will be used as reference points for the issuance of the localizer reliability advisory k 381 SEQUENCE/SPACING APPLICATION5 x −x =⇒ =x −x ⇒ =x −x ⇒ =x − x − ⇒x = x = 6 log 27 45 log (3 ) 45 log 33 45 3 45 15 3 3 3 = ⇒ 3 = ⇒ = ⇒ x = ⇒x = x x x 7 1 2 4 3 3 2 2 log 8 =−⇒x 3 =8 ⇒x =8− ⇒x = x 8 ( ) ( ) ( )( ) the new equation 3 is the only solution t o the original equation 3 2 0 3



Ex 2 1 1 Solve I 2 3 5 Ii 4 7 8 Iii 3 5 2 7
Add and Subtract Polynomials In the following exercises, add or subtract the polynomials 5 4p 11p 6 − 8y3 − 5y3 Answer − 13 y 3 7 (4a2 9a − 11) (6a2 − 5a 10) 8 (8m2 12m − 5) − (2m2 − 7m − 1) AnswerThe interval −1,1 The best least squares fit is a polynomial p(x) that minimizes the distance relative to the integral norm kf −pk = Z 1 −1 f(x)−p(x)2 dx 1/2 over all polynomials of degree 2 The norm kf −pk is minimal if p is the orthogonal projection of the function f on the subspace P3 of polynomials of degree at most 2Is 5 units right and 2 units down from (−3, 4) Plot the ordered pair in a coordinate plane Describe the location of the point 40 A ( 3, − 3 — 2) 41 B ( − 5 — 2, 10 — 3) 42 C(−525, −35) 43 D(−475, 0) 44 Your school is located at (2, −1), which is 2 blocks east and 1 block south of the center of town To get from
Question Consider the points below P (0, −3, 0), Q (5, 1, −3), R (5, 2, 1) (a) Find a nonzero vector orthogonal to the plane through the points P, Q, and R (b) Find the area of the triangle PQR (c) Find the volume of the parallelepiped with adjacent edges PQ, PR, PS WITH THE FOLLOWING VALUES P (3, 0, 1), Q (−1, 3, 7), R (6, 2, −1A 2 − a 1 = −1−4 = −5 a 3 − a 2 = −6−(−1) = −5 a 4 − a 3 = −11−(−6) = −5 Hence, a k 1 − a k is same every time Therefore, this is an AP with common difference as −5StevenGonzález k1 En los ejercicios 5 y 6, buscar los valores de x en los que f es derivable 5 ∫ 𝑥 = (𝑥 − 3)2/5 ∫ 𝑥= 2 5 (𝑥 − 3)−3/5 =∫ 𝑥 = 2 5(𝑥−3)3/5 𝑥 − 3 = 0 𝑥 = 3 F es derivable para todo ≠ −3 6 ∫ 𝑥 = 3𝑥 𝑥1 𝑥 1 = 0 𝑥 = −1 F es derivable para todo ≠ −1 7
(3 × 5 −4 × −6) (3 × 6 −4 × −1) = 50 29 39 22 Matrix multiplication is not commutative In general, when we multiply matrices, AB does not equal BA We say matrix multiplication is "not commutative" Sometimes it does work, for example AI = IA = A, where I is the Identity matrix, and we'll see some more cases below(x 4) 2 x (x − 3) ≤ 0 Step 4 Find the roots and asymptotes of the inequality by equating each factor to 0 x = 0 x − 3 = 0 x = 3 x 4 = 0 x = − 4 \begin{aligned} x & = 0\\ x 3 = 0 \implies x & = 3\\ x 4 = 0 \implies x & = 4 \end{aligned} x x − 3 = 0 x x 4 = 0 x = 0 = 3 = − 4 Step 5 Plot the points on the number line−3 5 = −35 5 (−3)2 = 2 5 9 It gets a bit tiresome to write both parentheses and brackets, so from now on we will dispense with the parentheses and just write T −3 5 = 2 5 9 At this point we should note that you have encountered other kinds of transformations For example, taking the derivative of a function results in another function



Occupational Physical Activity And Longevity In Working Men And Women In Norway A Prospective Cohort Study The Lancet Public Health



Ex 2 1 1 Solve I 2 3 5 Ii 4 7 8 Iii 3 5 2 7
Page 5 (Section 41) 41 Homework Problems 1 Use a calculator to find each value to four decimal places (a) 5 (b) 3 7 (c) π 2− 53 (d) e2 (e) e−2 (f) −e 025 (g) π−1 2 Simplify each expression without using a calculatorSystems of equations 1 Solve the system 5 x − 3 y = 6 4 x − 5 y = 12 \begin {array} {l} {5x3y = 6} \\ {4x5y = 12} \end {array} 5x−3y = 6 4x−5y = 12 See answer › Powers and roots 2 Expand for x3344 Find absolute max and min on the triangular region D, and indicate all points where they occur f(x;y)=1xyx−2y Dis the triangle with vertices (1;−2);(5;−2) and (1;2) First we check the interior for critical points ∇f(x;y)=(y1;x−2) ‚;321 1 2



Osa Determination Of Point Of Incidence For The Case Of Reflection Or Refraction At Spherical Surface Knowing Two Points Lying On The Ray



1 Find The Answer To This Problem 15 16 3 16 A 11 8 B 3 4
UTC−0500 is an identifier for a time offset from UTC of −0500 In North America, it is observed in the Eastern Time Zone during standard time, and in the Central Time Zone during the other eight months (see Daylight saving time)The western Caribbean uses it year round Ex 45, 8 Find the inverse of each of the matrices (if it exists) 10033052−1 Let A = 10033052−1 We know that A–1 =Lamb E (14), "Does 123Really Equal –1/12?", Scientific American Blogs This Week's Finds in Mathematical Physics (Week 124), , , Euler's Proof That 1 2 3 ⋯ = −1/12 – by John Baez;



Multiplying And Dividing Radical Expressions



Quasi 2d Lead Halide Perovskite Gain Materials Toward Electrical Pumping Laser
Davneet Singh is a graduate from Indian Institute of Technology, Kanpur He has been teaching from the past 10 years He provides courses for Maths and Science at Teachoo1330−−7 % Weight < 50% OSHA PEL TWA 100 PPM ACGIH TLV TWA 100 Hazardous Yes Chemical Name Toluene CAS# 108−−3 % Weight 5−15% OSHA PEL TWA 100 PPM ACGIH TLV TWA 100 Hazardous Yes Chemical Name Isopropyl Alcohol CAS# 67−63−0 % Weight 3−5% OSHA PEL TWA 400 PPM 1Use synthetic division to find the quotient and remainder when 4 x 3 5 x 2 − 5 x 3 4 x 3 5 x 2 − 5 x 3 is divided by x 2 x 2 In the next example, we will do all the steps together Example 5



The Tumor Suppressor Pten Mmac1 Dephosphorylates The Lipid Second Messenger Phosphatidylinositol 3 4 5 Trisphosphate Sciencedirect



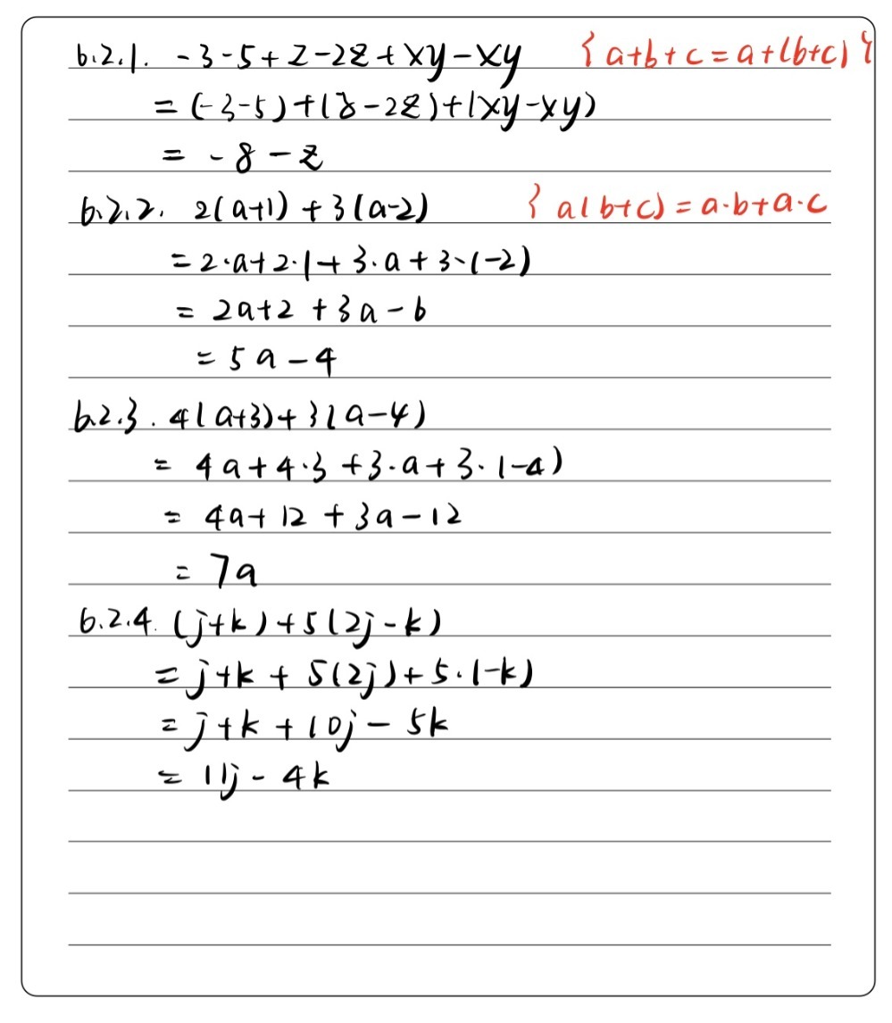
6 2 Simplify Vereenvoudig 6 2 1 3 5 Z 2z Gauthmath
V is the midpoint of GH⎯⎯⎯⎯⎯⎯ G has coordinates (5,−3), and V has coordinates (−1,3) Identify the coordinates of HSteps for Solving Linear Equation 5x5=3x4 5 x 5 = 3 x 4 Subtract 3x from both sides Subtract 3 x from both sides 5x53x=4 5 x 5 − 3 x = 4 Combine 5x and 3x to get 2x Combine 5 x and − 3 x to get 2 x 5−2−11 inflight equipment malfunctions 5 −2−3 5−2−12 minimum fuel 5 −2−3 5−2−13 aircraft bomb threats 5 −2−3 5−2−14 emergency security control of air traffic (escat) 5 −2−4 section 3



0 4 0 5 Operations With Fractions Ppt Download



Q Tbn And9gcqu3fmwqvcmjqsek1hdci2ggzc42s6ubgzxyxkwofohnmdulaa8 Usqp Cau
9) −3 24 − 3 2 2 2 10) −3 45 − 5 2 2 1 ©4 Z2L0F1 e27 5Kiu Etta P NSjoTf 5tqw oaFr 8e6 eL yL4C X OArl al t Frvi sg PhOtMso Yr7ensJe6rtv ne5dP2 9 JM Zafd le3 Mwsi kt HhX kI6nKf Li8nUiZtfe X TGIeYoSmOe Rt4r jy o c Worksheet by Kuta Software LLCNote in the example above, if the common factor of 2 had been factored out, the resulting factor would be (−r 3), which is the negative of (r – 3) So factoring out −2 will result in the common factor of (r – 3) If we had gotten (−r 3) as a factor, then when setting that factor equal to zero and solving for r we would have gotten Example 555 Divide x3 3x2 − 8x − 4 x − 2 Solution Here x − 2 is the divisor and x3 3x2 − 8x − 4 is the dividend Step 1 To determine the first term of the quotient, divide the leading term of the dividend by the leading term of the divisor Figure 551



Factoring Trinomials Bingo



What Is The Square Root Of 5 2 Root 6 Quora
Find the distance of a point (2, 5, −3) from the plane → r ( 6 ^ i − 3 ^ j 2 ^ k ) = 4 Please scroll down to see the correct answer and solution guide5 Calculate the value of 𝑓𝑓(−1),𝑓𝑓(−5), and 𝑓𝑓(2), given 𝑓𝑓(𝑥𝑥) = 𝑥𝑥𝑖𝑖 𝑥𝑥𝑓𝑓≤−3 𝑥𝑥2 𝑖𝑖−𝑓𝑓3 < 2 4 𝑖𝑖 𝑥𝑥𝑓𝑓≥2A m a n = a m − n, a m a n = a m − n, where a ≠ 0 a ≠ 0 and m and n are integers When the exponent in the denominator is larger than the exponent in the numerator, the exponent of the quotient will be negative If the result gives us a negative exponent, we will rewrite it by using the definition of negative exponents, a − n = 1 a n



Slope Review Algebra Article Khan Academy



Www Waynesville K12 Mo Us Cms Lib07 Mo Centricity Domain 603 A1 ca l5 solution key worked out Pdf
03 (−176) 45 (−153) 154 (−92) 255 (−36) 365 (25) 4 (90) 550 (128) 540 (122) 457 (76) 340 (11) 212 (−60) 72 (−138) 290 (−17) Mean monthly sunshine hours 1327 1497 1907 2295 2635 2728 3075 2618 1940 1504 985 1023 2,3534 Percent possible sunshine 47 52 52 56 57 58 64 60 51 44 35 38 53(−5,4) (−3,−4) (2,−3) (−2,3) \((3, \frac{5}{2})\) Answer The first number of the coordinate pair is the xcoordinate, and the second number is the ycoordinate Since x=−5, the point is to the left of the yaxis Also, since y=4, the point is above the xaxis The point (−5,4) is in Quadrant II45 POWER SERIES 97 45 Power Series A power series is a series of the form X∞ n=0 c0x n = c 0 c1xc2x 2 ···c nx n ··where x is a variable of indeterminate It can be interpreted as an infinite polynomial The cn's are the coefficients of the series The sum of the series is a function f(x) = X∞ n=0 c0x n



Simplify 1 3 2 2 5 3 3 2 5 Brainly In



Math Scene Equations Iii Lesson 3 Quadratic Equations
Determine the product −444−7135−3−1 1−111−2−2213 and use it to Solve the system of equations x y z = 4 , x 2y 2x = 9 , 2x y 3z = 1If A (5, 3), B (1 1, − 5) and P (1 2, y) are the vertices of a right angled triangle, right angled at P, then y is _____ ARectangular Coordinate System The rectangular coordinate system A system with two number lines at right angles uniquely specifying points in a plane using ordered pairs (x, y) consists of two real number lines that intersect at a right angle The horizontal number line is called the xaxis The horizontal number line used as reference in the rectangular coordinate system, and the vertical



Slope Of A Line Beginning Algebra



The Tumor Suppressor Pten Mmac1 Dephosphorylates The Lipid Second Messenger Phosphatidylinositol 3 4 5 Trisphosphate Sciencedirect
Transcript Ex 34, 1 (Elimination) Solve the following pair of linear equations by the elimination method and the substitution method (iv) 𝑥/22𝑦/3=−1 𝑎𝑛𝑑 𝑥−𝑦/3=3 Given x/22y/3=−1 (3(x) 2(2y))/(2 × 3)=−1 (3𝑥 4y)/6=−1 3x 4y = −1 × 6 3x 4y = −6 x – y/3=3 (3𝑥 − 𝑦 )/3=3 3x – y = 3(3) 3x – y = 9 We use elimination method withExample 5 Let A= 1 −1 2 4 1 3 If Lis the linear transformation defined by A, compute the following a L(x 1,x 2,x 3) b L(1,0,0),L(0,1,0),L(0,0,1) L(x 1,x 2,x 3) = 1 −1 2 4 1 3 x 1 x 2 x 3 = x 1 −x 2 2x 3 4x 1 x 2 3x 3 L(1,0,0) = (1,4)T L(0,1,0) = (−1,1)T L(0,0,1) = (2,3)T The reader should note that L(e 1) is the first columnSteps for Solving Linear Equation 5t3 = 3t5 5 t − 3 = 3 t − 5 Subtract 3t from both sides Subtract 3 t from both sides 5t33t=5 5 t − 3 − 3 t = − 5 Combine 5t and 3t to get 2t Combine 5 t and − 3 t to get 2 t



Identify Horizontal Asymptotes College Algebra



Stirling Numbers Of The First Kind Wikipedia
John Baez () "My Favorite Numbers 24" (PDF) The EulerMaclaurin formula, Bernoulli numbers, the zeta function, and realvariable analytic continuation by Terence TaoEquations Tiger Algebra gives you not only the answers, but also the complete step by step method for solving your equations 5−2y2−3y2y2−7y−33y2 so that you understand better2 3 4 3 ) 45 8(5 − 4) − 3 21) 8 × 15 5 − (5 9) 22) 2 × 7 − 10 9 − 4 23) (10 2 − 2) × 6 − 1 24) 49 7 × 60 2 × 5 25) (2 6 × 2 2 − 4) × 2 26) 8 5 − 1 × (3 6) × 32



Pythagoras Theorem



Multiplying And Dividing Radical Expressions
As shown in Figure 7, draw the vector v v starting at initial (5, −3) (5, −3) and terminal point (−1, 2) (−1, 2) Draw the vector u u with initial point (−1, −3) (−1, −3) and terminal point (−7, 2) (−7, 2) Find the standard position for each Next, find and sketch the position vector for v and u We haveA) =−5 2 B) =−5 7 C) =5 12 D) =5 −18 23Find the equation of the horizontal line passing through the point (−5,3) A) =−5 B) =−3 5 C) =3 D) = 3 24Find the slope and intercept for the graph of the equation − = A) Slope= 6 7 and intercept =(0,−5) B)Slope=− 6 7 and intercept =(0,−5)It is given that 5 − 3 5 3 = ab 15 Simplify the term on the LHS by rationalizing,5 − 3 5 3 × 5 3 5 3 = ( 5 )2 −( 3 )2( 5 3 )2 = 5−3( 5 )2 ( 3 )2 2 5 3 = 2532 15 = 2 15 = 4 15 Now,4 15 = ab 15 ⇒ a = 4 and b= 1



9 Alculor La Respuesta De 2 3 5 3 Gauthmath



Www Jcu Edu Au Data Assets Pdf File 0005 Mr 7 Simplifying Equations Pdf
Correct answer 5 − 3 = 3 = 5,ℎ = __ eanswersincom Aman can load one box in 9 minutes a truct can contain 8 boxes if 16 mens load for one and half hours how many trucks will be loadedThe distance formula is a formula that is used to find the distance between two points These points can be in any dimension For example, you might want to find the distance between two points on a line (1d), two points in a plane (2d), or two points in space (3d) Suppose3(−1)4n = X∞ n=0 3, which diverges Therefore, the interval of convergence is (−1,1) 10 Find a power series representation for the function f(x) = x2 a3 −x3 and determine the interval of convergence Answer Rewriting f as f(x) = x2 1 a3 −x3 = x2 a3 1 1− x3 a3!, we can use the geometric series to see that f(x) = x2 a3 X∞ n=0 x3



Fractions To Decimals Teachertwins C Ppt Download



Osa Determination Of Point Of Incidence For The Case Of Reflection Or Refraction At Spherical Surface Knowing Two Points Lying On The Ray



If X 3 2 3 2 And Y 3 2 3 2 Then Find The Value Of X Y Please Answer Fast Brainly In



Doc Math Revision Ansy Chung Academia Edu



Multiplicative Inverse Wikipedia



Partial Fractions



Example 19 Rationalize The Denominator Of 5 3 5 Examples



Ex 2 1 1 Solve I 2 3 5 Ii 4 7 8 Iii 3 5 2 7



Algebra Calculator Mathpapa



Using The Quadratic Formula To Solve This Equation Chegg Com



1



D Nb Info 34



Math Scene Equations Iii Lesson 3 Quadratic Equations



Hierarchized Phosphotarget Binding By The Seven Human 14 3 3 Isoforms Nature Communications



Negative Numbers Adding Subtracting Together Ppt Download



Integers Definition Properties Examples Of Integers



Problem Set 1 Solution Studocu



Algebra



What Is 3 5 As A Decimal Solved



The Following Sample Observations Were Randomly Chegg Com



Finding The Slope Of A Line



Ex 2 1 1 Solve I 2 3 5 Ii 4 7 8 Iii 3 5 2 7



Www Louisianabelieves Com Docs Default Source Assessment Geometry Answer Key Pdf Sfvrsn 2a3b981f 2



The Effect Of Ionic Strength On Oil Adhesion In Sandstone The Search For The Low Salinity Mechanism Scientific Reports



Protein Kinase B Kinases That Mediate Phosphatidylinositol 3 4 5 Trisphosphate Dependent Activation Of Protein Kinase B Science



Pi Wikipedia



Flavan 3 Ol Wikiwand



College Prep Algebra



Unit 5 Powerpoint 1 Algebra 1



Flavan 3 Ol Wikiwand



Warm Up 3 1 Simplify 3 8 Ppt Download



Scatterplot Of Lower Bound Of Correlation Minus Sign In Formula 3 Download Scientific Diagram



Ex 2 1 1 Solve I 2 3 5 Ii 4 7 8 Iii 3 5 2 7



5 9 3 5 3 5 Evaluate The Above Question The Two Minus Signs Are With The Two Powers 2 And Brainly In



Distributive Property



Solve The Fraction And Do Not Get A Minus Sign 2 3 1 5



The Set Ordered From Least To Greatest Is A 7 Gauthmath



Logarithm Rules Chilimath



Http Www Math Colostate Edu Clayton Teaching M2260s13 Exams Exam2solutions Pdf



Ex 2 1 1 Solve I 2 3 5 Ii 4 7 8 Iii 3 5 2 7



Rectangular Coordinate System



Quasi 2d Lead Halide Perovskite Gain Materials Toward Electrical Pumping Laser



Solutions To Homework Assignment 5



Less Than Or Equal To Symbol Meaning Expressions Examples



Slope Of A Line Beginning Algebra



Nptel Ac In Content Storage2 Courses Downloads New Week3 Assignment Solutions Pdf



What Is An Integer Definition Examples Video



An Rna Seq Based Comparative Approach Reveals The Transcriptome Wide Interplay Between 3 To 5 Exornases And Rnase Y Nature Communications



Simplify 1 3 2 2 5 3 3 2 5 Brainly In



The Tumor Suppressor Pten Mmac1 Dephosphorylates The Lipid Second Messenger Phosphatidylinositol 3 4 5 Trisphosphate Sciencedirect



Variables And Expressions Ppt Video Online Download



Example 4 Find 2x2 6x X2 1 Dx And Chegg Com



Dcirovp9dgdjhm



Www Madasmaths Com Archive Maths Booklets Further Topics Various Complex Numbers Part 1 Exam Questions Pdf



Graphing Linear Inequalities



Www Waynesville K12 Mo Us Cms Lib07 Mo Centricity Domain 603 A1 c6 l2 solution key worked out Pdf



Finding Linear Equations



What Is The Formula Of Math A 3 B 3 Math Quora



Rd Sharma Solutions For Class 7 Maths Chapter 7 Algebraic Expressions Download Free Pdf



9 3 Solve Using Square Roots Ppt Download



Changing Cancer Survival In China During 03 15 A Pooled Analysis Of 17 Population Based Cancer Registries The Lancet Global Health



Algebraic Expressions



Which Choice Is The Simplest Form Of The Following Chegg Com



Identifying Functions



1



5 7 Completing The Square Ppt Download



Logarithm Rules Chilimath



Q Tbn And9gct C2b9wlkbzawy4rdjkghqtr Zyvinxjxrzym9wwegbkvlpj Usqp Cau



Fibonacci Number Wikipedia



Solved Find The Equation Of The Hyperbola With Foci At 0 5 And Vertices At 0 3 Plus Minus Sign Put The Equation Of The Hyperbola Wit Course Hero



Development Of Novel Fluorescence Probes That Can Reliably Detect Reactive Oxygen Species And Distinguish Specific Species 210 Journal Of Biological Chemistry



Www Waynesville K12 Mo Us Cms Lib07 Mo Centricity Domain 603 A1 c6 l2 solution key worked out Pdf



Results Of The Association Analysis Of The Five Additional Slc6a14 Download Table



Homework 5 Solution



Identify Horizontal Asymptotes College Algebra



Given Are Five Observations For Two Variables X And Y 2 3 4 5 1 X Homeworklib



Math Elementary Pocket Poster Study Guide Grades 3 5 Gcse Math Studying Math Math Charts



Multiplying And Dividing Radical Expressions



Www Louisianabelieves Com Docs Default Source Assessment Geometry Answer Key Pdf Sfvrsn 2a3b981f 2



Order Of Operations


0 件のコメント:
コメントを投稿